DECRETO Nº 1.477, DE 10 DE ABRIL DE 2026

DOE de 10.04.26

Regulamenta a Lei nº 19.668, de 2025, que dispõe sobre a não exigência do crédito tributário relativo ao Imposto sobre Operações Relativas à Circulação de Mercadorias e sobre Prestações de Serviços de Transporte Interestadual  e Intermunicipal e de Comunicação (ICMS), devido pelo sujeito passivo em decorrência do descumprimento de condicionantes vinculadas ao atingimento de meta econômica ou financeira exigidas pela legislação tributária para utilização dos benefícios fiscais, nas hipóteses que especifica, e introduz as Alterações 4.979 a 4.981 no RICMS/SC-01.

O GOVERNADOR DO ESTADO DE SANTA CATARINA,  no uso das atribuições privativas que lhe conferem os incisos I e III do caput do art. 71 da Constituição do Estado, conforme o disposto no art. 98 da Lei nº 10.297, de 26 de dezembro de 1996, e na Lei nº 19.668, de 18 de dezembro de 2025, e de acordo com  o que consta nos autos do processo nº SEF 4714/2026,

DECRETA:

Art. 1º Com fundamento no Convênio ICMS nº 149, de 3 de outubro de 2025, do Conselho Nacional de Política Fazendária (CONFAZ), não será exigido o crédito tributário, constituído ou não, relativo ao Imposto sobre Operações relativas à Circulação de Mercadorias e Prestação de Serviços de Transporte Interestadual e Intermunicipal e de Comunicação (ICMS), inscrito ou não em dívida ativa, ainda que ajuizado, cujo fato gerador tenha ocorrido até 31 de dezembro de 2024, devido pelo sujeito passivo em decorrência do descumprimento de condicionantes vinculadas ao atingimento de meta econômica ou financeira exigidas para utilização dos benefícios fiscais concedidos ao setor industrial relacionados nos:

I – arts. , , , , , , , , 10, 12, 13, 13-A, 15, 16,  16-A, 16-B e 22 da Lei nº 13.992, de 15 de fevereiro de 2007, e no Decreto nº 105, de  14 de março de 2007;

II – arts. 19, 20, 21, 22, 33 e 44 da Lei nº 14.967, de 7 de dezembro de 2009;

III – arts. , , , , , , , , 10, 11, 11-A, 11-B, 11-C,  11-D, 11-E, 11-F, 11-G, 11-H, 11-I e 12 do Anexo II da Lei nº 17.763, de 12 de agosto de 2019; e

IV – seguintes dispositivos do Anexo 2 do Regulamento do ICMS, aprovado pelo Decreto nº 2.870, de 27 de agosto de 2001:

a) inciso XXXIX do caput e §§ 35, 36, 37 e 43 do art. 15;

b) inciso IX do caput e §§ 10, 11, 12, 13, 14, 27, 28 e 29 do  art. 21;

c) incisos VII e X do caput e §§ 16, 17, 18 e 19 do art. 21;

d) arts. 142, 143, 144, 146, 146-A, 147, 148 e 148-B;

e) art. 145; e

f) arts. 175, 176, 177 e 178.

§ 1º A não exigência de que trata o caput deste artigo fica condicionada:

I – ao recolhimento, pelo sujeito passivo, do imposto exigível sem aplicação do benefício fiscal concedido, acrescido de juros e de multa, proporcionalmente ao percentual das metas e dos compromissos não atingidos em relação às metas e aos compromissos exigidos para fruição do benefício; e

II – à desistência, pelo sujeito passivo, de:

a) ações ou embargos à execução fiscal relacionados com os respectivos créditos tributários, com renúncia ao direito sobre o qual se fundam, nos autos judiciais respectivos, com a quitação integral pelo sujeito passivo das custas  e das demais despesas processuais; e

b) impugnações, defesas e recursos eventualmente apresentados pelo sujeito passivo em âmbito administrativo.

§ 2º O cálculo do percentual das metas e dos compromissos não atingidos de que trata o inciso I do § 1º deste artigo observará o seguinte:

I – considera-se:

a) “%Inv” o percentual dos investimentos não realizados em relação ao valor total de investimentos assumidos na meta, observadas as definições previstas no art. 104-D do Regulamento do ICMS;

b) “%Emp” o percentual de empregos não gerados em relação ao número total de empregos assumidos na meta; e

c) “%Fat” o percentual de faturamento não atingido em relação ao valor total de faturamento assumido na meta;

II – a verificação dos percentuais de que trata o inciso I deste parágrafo será realizada individualmente para cada meta, e o cumprimento de determinada meta em percentual superior ao compromisso assumido não afeta  a verificação do cumprimento de outra meta;

III – tratando-se de benefício cujo compromisso assumido esteja relacionado a exclusivamente 1 (uma) meta, o percentual do ICMS a ser recolhido será o “%Inv”, o “%Emp” ou o “%Fat”, conforme o caso;

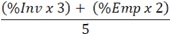
IV – tratando-se de benefício cujo compromisso assumido esteja relacionado a metas de realização de investimentos, de geração de empregos e de atingimento de valor mínimo de faturamento, o percentual do ICMS a ser recolhido será obtido pela seguinte fórmula:

V – tratando-se de benefício cujo compromisso assumido esteja relacionado a metas de realização de investimentos e de geração de empregos,  o percentual do ICMS a ser recolhido será obtido pela seguinte fórmula:

VI – tratando-se de benefício cujo compromisso assumido esteja relacionado a metas de realização de investimentos e de atingimento de valor mínimo de faturamento, o percentual do ICMS a ser recolhido será obtido pela seguinte fórmula:

VII – tratando-se de benefício cujo compromisso assumido esteja relacionado a metas de geração de empregos e de atingimento de valor mínimo de faturamento, o percentual do ICMS a ser recolhido será obtido pela seguinte fórmula:

§ 3º Em relação aos benefícios de crédito presumido concedidos nas saídas de artigos têxteis, de vestuário, de artefatos de couro e seus acessórios promovidas pelo estabelecimento industrial que os tenha produzido, de que tratam as alíneas “a” e “b” do inciso IV do caput deste artigo:

I – os investimentos em valor equivalente ao crédito presumido apropriado entre 1º de janeiro de 2021 e 31 de dezembro de 2025 deverão ter sido realizados até 31 de dezembro de 2025;

II – os investimentos realizados anteriormente a 1º de janeiro de 2021 que excederem o crédito presumido apropriado no período poderão ser deduzidos dos investimentos a serem realizados entre 1º de janeiro de 2021 e 31 de  dezembro de 2025; e

III – o beneficiário que não tiver realizado os investimentos até o prazo de que trata o inciso I deste parágrafo poderá investir o valor restante até 31 de  dezembro de 2026, desde que, até 31 de maio de 2026, anexe, no Sistema de Administração Tributária (SAT), documentos que comprovem os investimentos já realizados e o cronograma dos investimentos que se compromete a realizar até 31 de  dezembro de 2026.

Art. 2º O recolhimento de que trata o inciso I do § 1º do art. 1º  deste Decreto deverá ser efetuado em moeda corrente, sendo vedada qualquer espécie de compensação prevista em qualquer outro instrumento legal.

§ 1º O recolhimento poderá ser realizado em até 60 (sessenta) parcelas mensais, iguais e sucessivas, observado o seguinte:

I – sobre as parcelas vincendas, aplica-se o disposto no  art. 69-B da Lei nº 5.983, de 27 de novembro de 1981;

II – o pedido de parcelamento somente será deferido após  a comprovação do pagamento da 1ª (primeira) prestação até o respectivo vencimento  e será sumário, independentemente do valor do crédito tributário objeto do parcelamento, não se aplicando o disposto no § 3º do art. 64 do Regulamento, nem o disposto no § 1º  do art. 3º e no art. 3º-A do Decreto nº 819, de 20 de novembro de 2007; e

III – o parcelamento será cancelado nas seguintes hipóteses:

a) atraso no pagamento de 3 (três) parcelas, sucessivas ou não;

b) transcurso de 90 (noventa) dias sem pagamento, contados do vencimento da última prestação quitada; ou

c) a pedido do contribuinte.

§ 2º O cancelamento do parcelamento nas hipóteses de que trata o inciso III do § 1º deste artigo torna sem efeito a não exigência de que trata o caput do art. 1º deste Decreto e implica a reconstituição do saldo devedor, com todos os ônus legais, e o restabelecimento das multas, dos juros e do próprio tributo que eventualmente tenham sido reduzidos, deduzidas as importâncias efetivamente recolhidas.

Art. 3º A aplicação do benefício de que trata este Decreto depende de adesão do contribuinte e observará o seguinte:

I – a apuração dos percentuais será realizada no curso de ação fiscal auxiliar de acompanhamento ou pelo próprio contribuinte; e

II – o recolhimento será realizado por meio de Declaração de Débitos de ICMS Especiais (DDE).

Parágrafo único. O disposto neste artigo não impede  o lançamento de ofício do valor integral do imposto devido enquanto não houver seu cumprimento pelo contribuinte.

Art. 4º O disposto nos arts. 1º, 2º e 3º deste Decreto não confere direito à restituição ou à compensação de valores já pagos.

Art. 5º Ficam introduzidas no RICMS/SC-01 as seguintes alterações:

ALTERAÇÃO 4.979 – O Capítulo XI do Regulamento passa a vigorar acrescido do art. 104-D, com a seguinte redação:

“Art. 104-D. Para os fins da verificação do atingimento de meta econômica ou financeira assumida pelo contribuinte como condição para fruição de benefício fiscal, considera-se investimento o somatório do valor das seguintes parcelas:

I – investimentos fixos da empresa, dentre os quais,  compreendem-se:

a) maquinários, móveis, equipamentos eletrônicos, decoração e veículos;

b) despesas de obras civis ou instalações;

c) equipamentos nacionais e importados;

d) softwares;

e) contratos de locação em que o imóvel é construído para atender aos interesses do locatário no formato built to suit (BTS);

f) construções de prédios sustentáveis;

g) matrizes de energias renováveis;

h) construção civil;

i) investimento em telecomunicação e conectividade;

j) tecnologia de inteligência das coisas;

k) tecnologia da informação e comunicação;

l) equipamentos de automação;

m) informática e telecomunicação; e

n) aquisição de terreno na proporção da área efetivamente edificada ou instalada e diretamente vinculada ao projeto incentivado;

II – valor do investimento em pesquisa e desenvolvimento de novos produtos, dentre os quais, compreendem-se:

a) serviços de consultoria;

b) projetos de pesquisa, desenvolvimento e inovação sobre produtos, processos e marketing organizacional;

c) inovação aberta, como aquisição de pesquisa  e desenvolvimento, licença de direitos de exploração de patentes e de uso de marcas e aquisição de conhecimento especializado (know how);

d) formação de capital humano;

e) serviços de terceiros;

f) registro de marca e patentes; e

g) valores gastos com equipes próprias exclusivas de desenvolvimento de novos produtos; e

III – valor dos produtos fabricados ou adquiridos para fins de demonstração relacionados ao projeto incentivado.

§ 1º Na hipótese da alínea “e” do inciso I do caput deste artigo:

I – quando o imóvel locado integrar complexo industrial com infraestrutura de uso comum construída em fases, o investimento nessa infraestrutura será considerado na proporção entre a área privativa do imóvel locado e a área privativa total locável prevista no projeto máster do complexo;

II – o montante considerado como investimento fica restrito:

a) ao valor do investimento realizado pelo locador na unidade locada; e

b) ao valor efetivamente pago a título de aluguel BTS;

III – fica vedada a inclusão de gastos de manutenção, reforma ou melhorias não estruturantes; e

IV – os gastos só serão considerados investimento quando  o locador não for contribuinte do imposto.

§ 2º Para os fins do disposto no inciso I do § 1º deste artigo, entende-se por projeto máster do complexo o conjunto integral das áreas privativas locáveis planejadas para todas as etapas do empreendimento.

§ 3º Para os fins do disposto na alínea “n” do inciso I do caput deste artigo:

I – a proporção será calculada pela relação entre a área privativa, edificada ou instalada do projeto e a área total do terreno;

II – a área remanescente não edificada poderá ser considerada em fases futuras quando ocorrer sua efetiva utilização, aplicando-se a mesma proporcionalidade prevista no inciso I deste parágrafo; e

III – não integram a base de cálculo áreas não úteis ao empreendimento.” (NR)

ALTERAÇÃO 4.980 – O art. 15 do Anexo 2 passa a vigorar com a seguinte redação:

“Art. 15. ........................................................................................

......................................................................................................

§ 37-A. Para os fins do disposto no inciso XI do § 35 deste artigo:

I – os investimentos deverão ser realizados durante o mesmo exercício em que o crédito presumido for apropriado; e

II – os investimentos realizados durante o exercício que excederem o crédito apropriado no período poderão ser deduzidos dos investimentos  a serem realizados nos exercícios seguintes.

............................................................................................” (NR)

ALTERAÇÃO 4.981 – O art. 21 do Anexo 2 passa a vigorar com a seguinte redação:

“Art. 21. ........................................................................................

......................................................................................................

IX – nas saídas de artigos têxteis, de vestuário, de artefatos de couro e seus acessórios, promovidas pelo estabelecimento industrial que os tenha produzido, calculado sobre o valor do imposto devido pela operação própria, nos seguintes percentuais, observado o disposto nos §§ 10, 11, 12, 13, 14, 27, 28 e 43 deste artigo (Lei nº 10.297/1996, art. 43):

......................................................................................................

§ 43. Para os fins do disposto na alínea “b” do inciso I do § 10  deste artigo:

I – os investimentos deverão ser realizados durante o mesmo exercício em que o crédito presumido for apropriado; e

II – os investimentos realizados durante o exercício que excederem o crédito apropriado no período poderão ser deduzidos dos investimentos  a serem realizados nos exercícios seguintes.

............................................................................................” (NR)

Art. 6º Este Decreto entra em vigor na data de sua publicação, com efeitos:

I – até 180 (cento e oitenta) dias a contar da data de sua publicação em relação aos arts. 1º, 2º, 3º e 4º; e

II – a contar da data de sua publicação em relação ao art. 5º.

Florianópolis, 10 de abril de 2026.

JORGINHO MELLO

Governador do Estado

HENRIQUE DE FREITAS JUNQUEIRA

Secretário de Estado da Casa Civil, designado

CLEVERSON SIEWERT

Secretário de Estado da Fazenda